Jazyk

+86-18857986217
Nantong Lyusen Environmental Protection Material Co., Ltd.

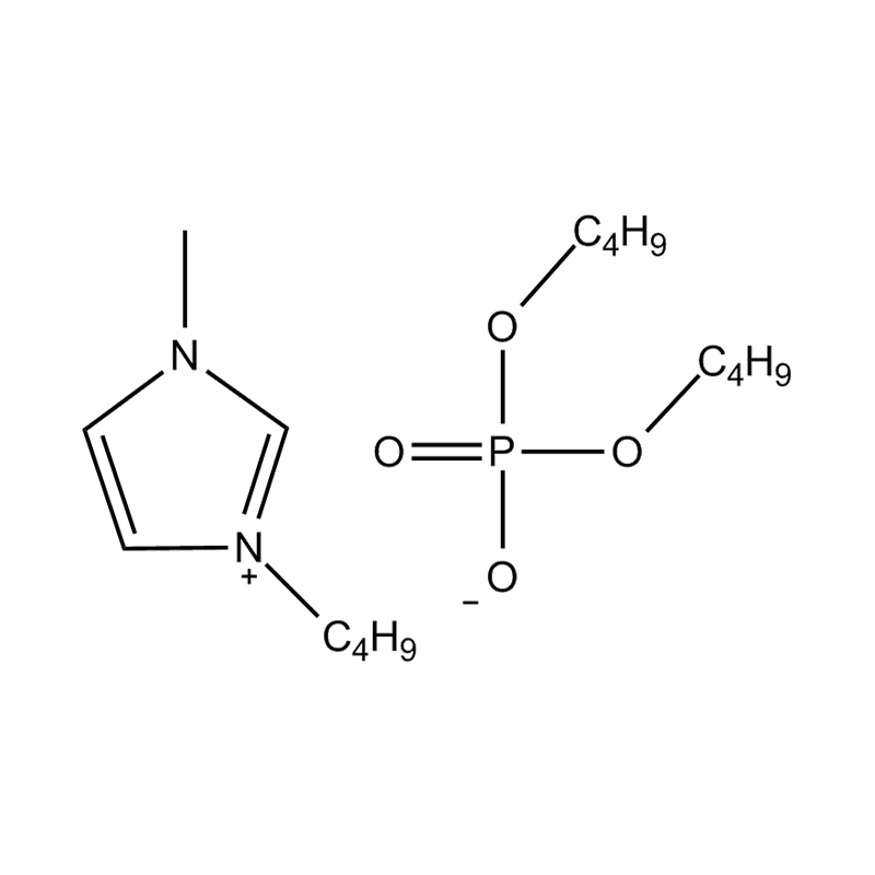
1-butyl-3-metylimidazolium dibutylfosfát Dodávatelia kvapalín

Čistý vzduch, ľudské právo

Domov / Produkt / Iónové kvapaliny / Prispôsobené iónové kvapaliny / 1-butyl-3-metylimidazolium dibutylfosfát
01Parameter 02Prispôsobiť
Molekulárna receptúra C 16 H 33 N 2 O 4 P
Molekulová hmotnosť 348.42
Č. 663199-28-8
Čistota 98%

O LANDE
Zhejiang Lande Energy Technology Development Co., Ltd.
Zhejiang Lande Energy Technology Development Co., Ltd. (Letd) je podnik v oblasti výroby kvapalín založený v roku 2009 so sídlom na č. 892 Changhong East Street, zóna hospodárskeho rozvoja okresu Deqing, provincia Zhejiang. Registrovaný kapitál spoločnosti je 36,9 milióna juanov a celkové aktíva sú 220 miliónov juanov.
Technológia LDET sa zameriava na výskum, vývoj, výrobu a predaj iónových kvapalín a flexibilné prísady elektronických produktov, ktoré sa používajú najmä v oblastiach, ako je ropná a uhlia chemická priemysel, lítiové batérie, ochrana energie a ochrana životného prostredia, jadrový priemysel, zelené farmaceutiká, biologické vlákna, optické filmy a každodenné chemické produkty. Produkty spoločnosti majú stabilné aplikácie v oblasti katalýzy a rozširujú svoje priemyselné aplikácie v oblastiach, ako je extrakcia bieleho oleja, tuhé/polotuhové elektrolyty, nízkoteplotné elektrolytické elektrolyty hliníka, katalyzátory degradácie PET atď. Vo výrobnom procese separátorov litiových batérií/ultrapohé molekulárne hmotnostné polyetylénové vlákna. Je to národný high-tech podnik a jeden z kľúčových kultivovaných podnikov v pláne Phoenix v provincii Zhejiang.
Čestné osvedčenie
  • honor
  • honor
  • honor
  • honor
  • honor
  • honor
  • honor
  • honor
Novinky
Spätná väzba